| Il giardino di Archimede
Un museo per la matematica |
L'ALGEBRA NELLA MATEMATICA ISLAMICA
Clara Silvia Roero
La matematica araba, o per meglio dire islamica, essendo estesa ai paesi in cui si professava la religione musulmana, ha inizio nel VII sec. con l'era maomettana.1 Grazie all'estensione del dominio arabo, che andava dall'Indo (in Asia) all'Ebro (in Spagna), essa risulta, almeno in un primo periodo, un fecondo connubio fra la matematica orientale, in particolare indiana, e quella occidentale, greco-ellenistica. Dalla prima vengono le conoscenze teoriche di aritmetica e di astronomia, mentre dalla seconda quelle di geometria.
Nei secoli VII e VIII non si hanno contributi originali degli islamici alla matematica, che viene considerata unicamente per la sua utilità nella risoluzione di problemi pratici (sorti dal commercio, dall'architettura, dall'astronomia, ecc.). Dopo il 750 vengono chiamati a Bagdad molti scienziati e filosofi dalla Siria, dalla Persia e dalla Mesopotamia e, grazie al mecenatismo di alcuni califfi2, Bagdad diventa la nuova capitale della cultura, la nuova Alessandria. Anche la sua posizione geografica, fra India e Grecia, contribuisce a farne il centro del potere sia politico, che culturale. Il califfo al-Mamun, in seguito ad un sogno in cui gli era apparso Aristotele, invia una missione all'imperatore di Bisanzio per raccogliere manoscritti greci nei monasteri e fonda a Bagdad una "casa della saggezza", che possiede una grandissima biblioteca, paragonabile a quella del museo di Alessandria e in cui dimorano sia dotti che traduttori. Questi ultimi avevano il compito di tradurre dal greco i testi classici scientifici e filosofici. La traduzione avveniva dapprima in siriaco, poi in arabo. Ciò dipendeva dal fatto che era necessaria, a tale scopo, non solo una buona cultura di base, ma anche la conoscenza del greco e queste erano qualità precipue delle comunità religiose siriache. I siriaci cristiani infatti, fin dai tempi della loro conversione al cristianesimo, nutrirono grandi interessi per la cultura greca, in particolare per le opere filosofiche e scientifiche. Studiarono così i testi di Aristotele e di Ippocrate e, quando i califfi si trasferirono a Bagdad, ed ebbero bisogno di cure mediche per i disturbi causati dal mutato regime di vita, vennero curati dai siriaci, molto più preparati dei beduini arabi. La fama dei medici siriaci si diffuse in breve tempo in tutto il mondo islamico e si trasmise a poco a poco ai testi classici dai quali provenivano le loro conoscenze. Iniziarono così le prime traduzioni degli scritti di Ippocrate e Galeno, per passare poi a quelli di Aristotele e degli altri classici.
Secondo altri storici anche le esigenze di tipo istituzionale e amministrativo, conseguenti alla conquista araba, contribuirono a nascere delle traduzioni.3 Dai popoli conquistati venivano infatti prese sia le regole di governo che di amministrazione, ma i califfi pretendevano che i registri si tenessero in arabo. Così, a poco a poco, la lingua araba divenne l'elemento unificatore del vasto dominio, sia dal punto di vista politico, che culturale.
L'epoca di più intense traduzioni per la matematica è il IX sec., che vede le versioni delle principali opere dell'antichità classica, come pure di quelle dell'antichità tarda. Di Euclide sono tradotti sia gli Elementi che i Data, che altri scritti di ottica, di meccanica, ecc.; di Archimede l'intera produzione, di Apollonio le Coniche ed un'altra opera (De sectíone rationis), andata perduta in greco. E non sono dimenticati neppure Pappo, Diofanto, il neo-pitagorico Nicomaco di Gerasa ed Erone di Alessandria. Di una stessa opera inoltre si trovano anche più di una traduzione e varie revisioni. Tutte queste hanno particolare importanza dal punto di vista storico, non solo poiché diedero impulso a far proseguire, presso gli arabi, un'attività matematica già esistente, ma anche, e soprattutto, perché costituirono il tramite attraverso il quale le opere classiche greche vennero conosciute in occidente. Gli Elementi di Euclide, ad esempio, si conobbero per la prima volta nel 1142 da una versione latina, fatta da Adelardo di Bath, da un manoscritto arabo, e i tre ultimi libri delle Coniche di Apollonio sono perduti in greco e, non esistono se non in arabo. D'altro lato però a queste traduzioni si deve guardare con spirito critico, poiché non sempre sono fedeli all'oriqinale. L'Arithmetica di Diofanto, ad esempio, appare nelle versioni di Qusta ibn Luqa e Abul-Wafa, con uno stile ed un lessico algebrizzati, che rivelano chiaramente l'influenza esercitata su questi, dagli algebristi arabi del IX sec..4
Nell'VIII sec., presso gli arabi, si assiste ad un progressivo interesse per l'aritmetica e per i sistemi di numerazione.5 Inizialmente non vi erano simboli appositi per i numeri, che erano semplicemente espressi a parole. In seguito alle conquiste, dovendosi tenere i registri amministrativi in arabo, si pose anche il problema di come scrivere i numeri e questo venne risolto, in un primo tempo, adottando, presso i singoli popoli, i loro rispettivi simboli (greci o siriaci in Siria, copti in Egitto, ecc.) e poi, a partire dall'VIII sec., usando le lettere dell'alfabeto e la numerazione in base 10. Era un sistema additivo, non posizionale, e che non possedeva ancora il simbolo dello zero. Non appena iniziarono gli interessi per l'astronomia, gli arabi si accostarono agli scritti indiani e da quelli appresero il sistema di numerazione posizionale in base 10 e il simbolo dello zero. Subito ne compresero l'importanza e iniziarono ad elaborare un'aritmetica decimale, che si rivelava molto semplice ed efficace.
Il matematico a cui si deve la prima esposizione del sistema di numerazione indiano e delle operazioni effettuate in questo sistema è il persiano Muhammad ibn Musa al-Khwarizmi (780-850 circa), che opera a Bagdad, nella casa della saggezza. Della sua vita non si conosce quasi nulla, tranne forse il fatto che, come indica il nome, egli era originario di Khwarizm (oggi Khiva), città del Turkestan. Di lui si sono conservate cinque opere, in parte rimaneggiate, di aritmetica, algebra, astronomia, geografia e sul calendario.6 In particolare le due opere sull'aritmetica e sull'algebra sono diventate famose e hanno esercitato notevole influenza sullo sviluppo della matematica medioevale occidentale, oltre che sugli studi successivi compiuti dagli arabi.
Il libro di aritmetica si conosce solo attraverso una versione latina del XIII sec., conservata a Cambridge e pubblicata a Roma nel 1857 da B. Boncompagni, col titolo Algoritmi de numero indorum e successivamente da K. Vogel col titolo Mohammed ibn Musa Alchwarizm's Algorithmus (Aalen 1963). Il termine algoritmus, che qui compare, derivato semplicemente dal nome latinizzato di al-Khwarizmi, ha designato, fino al sec. XVII, il sistema di numerazione posizionale decimale, e, successivamente, un procedimento sistematico di calcolo.7
Interessa però qui soprattutto il trattato di algebra di al-Khwarizmi, composto fra l'813 e l'833, in quanto si può considerare l'atto di nascita di questa disciplina.8 Tale trattato si è conservato in un manoscritto arabo del 1342, attualmente ad Oxford, e in alcune versioni latine, di cui le più famose sono quella di Robert of Chester, redatta nel 1145 a Segovia e pubblicata, con traduzione e commento inglese, da Karpinski (1915) e quella di Gherardo da Cremona (1114-1187), fatta a Toledo.
Il testo arabo si intitola Al-Kitab al-muktasar fi hisab al-jabr wa-l-muqabala, cioè Breve opera sul calcolo di spostare e raccogliere9. Essa si compone di un breve capitolo introduttivo sui contratti commerciali effettuati con l'aiuto della regola del tre, così come la utilizzarono gli indiani; di una parte propriamente algebrica; di un breve capitolo di geometria relativo al calcolo di aree e volumi e di una vasta parte dedicata ai problemi di divisione di eredità, particolarmente complessi nel diritto musulmano, sancito dal Corano. I manoscritti latini non contengono le ultime due parti e presentano alcune varianti rispetto all'originale. Lo scopo principale, che al-Khwarizmi si era prefisso in questa opera, era di scrivere un manuale che servisse alla risoluzione dei problemi della vita quotidiana. In realtà l'opera ebbe una diffusione ben più ampia di quella che l'autore si aspettava.
Fra i principali concetti qui utilizzati si trova la nozione di equazione di primo e di secondo grado, a coefficienti numerici. Qui al-Khwarizmi si distingue dai predecessori: non si tratta più, come presso gli egizi e i babilonesi, di risolvere problemi aritmetici e geometrici, che si possono tradurre in termini di equazioni, ma al contrario si parte dalle equazioni e i problemi vengono dopo. Il fatto che egli si limiti a considerare equazioni di primo e secondo grado è legato all'esigenza di avere una soluzione per radicali e una verifica geometrica di tale soluzione. L'algebra di al-Khwarizmi è interamente retorica;10 egli non usa infatti alcun simbolo ed è piuttosto prolisso nelle spiegazioni. La nozione di base è, come si è detto, quella di equazione a coefficienti numerici ed i termini di un'equazione sono indicati con nomi diversi. I numeri sono chiamati dirham, probabilmente dal nome dell'unità monetaria greca: la dracma; l'incognita è designata con say' (cosa) o gizr (radice), dal termine arabo che indicava la radice di una pianta, ed è usato anche per significare la radice quadrata. Infine mal (bene, possedimento) denota il quadrato dell'incognita.11
All'inizio dell'opera al-Khwarizmi distingue sei tipi canonici o normali di equazione, che egli presenta semplicemente a parole (come nello schema che segue, a sinistra, corrispondente, in notazioni moderne, alle equazioni scritte a destra, in cui a, b, c indicano numeri interi positivi):
l. I quadrati sono uguali alle radici: ax2 = bx
2. I quadrati sono uguali a un numero: ax2 = c
3. Le radici sono uguali a un numero: ax = c
4. I quadrati e le radici sono uguali a un numero: ax2 + bx = c
5. I quadrati e i numeri sono uguali alle radici: ax2 + c = bx
6. Le radici e i numeri sono uguali ai quadrati: bx + c = ax2.
In queste forme canoniche i coefficienti sono tutti positivi e i termini appaiono dunque sempre come grandezze additive. Ogni equazione viene sistematicamente ricondotta ad uno dei tipi indicati e, per la risoluzione, si impiegano due operazioni fondamentali: l' al-jabr (completamento, riempimento; tradotto in latino con restauratio), che corrisponde ad eliminare i termini negativi, aggiungendo termini uguali nei due membri, e l' al-muqabala (messa in opposizione, bilanciamento; latino oppositio) che corrisponde alla riduzione dei termini simili nei due membri. Inoltre il coefficiente del termine di secondo grado viene sempre ridotto all'unità, con un'operazione, detta al-hatt, che in particolare è applicata nella risoluzione delle equazioni dei tipi 4 e 5. Ad esempio, per l'equazione
x2 + (10 – x)2 = 58,
cioè
2x2 + 100 – 20x = 58,
con l'al-jabr si ottiene
2x2 + 100 = 20x + 58,
poi, con l'al-muqabala,
2x2 + 42 = 20x
e infine l'al-hatt dà luogo a
x2 + 21 = 20x,
che riconduce l'equazione di partenza al tipo 5.
Le espressioni al-jabr, da cui deriva la parola algebra, e al-muqabala caratterizzeranno quasi tutte le opere dei matematici islamici che seguono, sullo stesso tema, e si estenderanno poi alla teoria delle equazioni. Esse faranno la loro apparizione in occidente nel sec. XIV, dove indicheranno esplicitamente la disciplina dell'algebra, ma il termine al-muqabala cadrà in disuso dopo il sec. XV.
Nella risoluzione delle prime tre forme canoniche di equazione si notano alcune particolarità: innanzitutto il fatto che l'equazione ax2 = bx venga trattata esattamente come l'equazione ax = b, senza considerare la soluzione x = 0. Questa esclusione, dovuta forse al fatto che tale soluzione non aveva incidenza nei problemi concreti, persisterà nella storia dell'algebra fino al sec. XVII.
Inoltre al-Khwarizmi fornisce non soltanto la radice di un'equazione, ma anche il suo quadrato. Per esempio per il primo tipo di equazione: x2 = 5x, egli afferma: "La radice del quadrato è 5 e 25 costituisce il suo quadrato". E conserva lo stesso atteggiamento anche per le equazioni lineari, ad esempio per 1/2 x = 10, viene dato sia x = 20, che x2 = 400.
Uno dei punti più importanti e innovativi della trattazione è la ricerca della soluzione algoritmica: cioè il fatto che, per le equazioni di secondo grado, la soluzione si deve esprimere per radicali. Al-Khwarizmi dapprima enuncia, a parole, la regola risolutiva e poi ne fornisce la dimostrazione geometrica, sfruttando l'eredità greca classica. È vero che già prima si sapeva calcolare la soluzione di equazioni di questo tipo, ma non esistevano queste esigenze. I greci cercavano concretamente una o due incognite ben distinte e in un'equazione vedevano semplicemente una relazione fra queste grandezze concrete. In questo modo l'incognita risultava avere un solo valore, salvo nel caso in cui le ipotesi non fossero sufficienti oppure la stessa relazione potesse adattarsi a due casi diversi. Al-Khwarizmi invece studia l'equazione come oggetto matematico in sé, ne cura la classificazione, il metodo risolutivo e la discussione di ogni caso. Non tiene però mai conto delle soluzioni negative, forse proprio in quanto restava comunque un forte legame con le grandezze geometriche (quindi sempre positive), ravvisabile nelle verifiche, e un ancoraggio ai problemi concreti della vita quotidiana. Peraltro questo atteggiamento rimarrà a lungo immutato anche negli algebristi che seguono e non verrà messo in discussione se non nel sec. XVII.
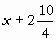
Ecco ora in dettaglio, su alcuni esempi,12 la risoluzione delle equazioni complete in secondo grado dei tipi 4, 5 e 6, elencati sopra. Al-Khwarizmi inizia con l'equazione
x2 + 10x = 39,
che rappresenta il tipo: "Radici e quadrati uguali a numeri". Egli afferma: "La soluzione è: dividi a metà il numero delle radici, che in questo caso dà 5. Moltiplica questo per se stesso: il prodotto è 25. Aggiungilo a 39, ottenendo 64. Ora prendi la radice di questo, che è 8 e sottrai da questo la metà delle radici, 5; il resto è 3. Questa è la radice del quadrato che cercavi e il suo quadrato è 9."
In notazioni moderne, l'equazione è rappresentabile con x2 + px = q ed è risolta con la regola
.
Alle regole risolutive con i radicali, come si è già detto, al-Khwarizmi fa seguire la dimostrazione geometrica che, in questo caso, presenta due diverse costruzioni, corrispondenti al procedimento noto come "completamento del quadrato".13 La prima consiste nel costruire il quadrato x2 e quattro rettangoli di altezza 10/4 sui lati di quello (v. Fig. 1).
Si completa poi la figura con quattro quadrati di lato 10/4.
Si ottiene così, sapendo che x2 + 10x = 39, un quadrato di area
, il cui lato,
, misura 8. Si deduce quindi x = 3.
Queste trasformazioni geometriche corrispondono alle seguenti trasformazioni algebriche:
![]()
![]()
![]()
,
da cui la regola data da al-Khwarizmi e riportata sopra.
La seconda dimostrazione geometrica si deduce dalla Fig. 2 e corrisponde alla seguente trasformazione:
x2 + 2
x +
= q +
.
Nel caso dell'equazione del tipo 5, al-Khwarizmi sa che si possono avere due radici oppure una sola (doppia) o nessuna (quando le radici non sono reali). Per mostrare la completezza della trattazione, si riporta per esteso il ragionamento di al-Khwarizmi relativo all'equazione x2 + 21 = 10x, affiancato dalla traduzione in simbolismo moderno delle operazioni espresso a parole.
|
"Quadrati e numeri uguali a radici. Il seguente esempio è un'illustrazione di questo tipo: un quadrato e 21 unità uguali a 10 radici. La regola risolutiva è la seguente: dividi per 2 le radici, ottieni 5. Moltiplica 5 per se stesso, hai 25. Sottrai 21 che è sommato al quadrato, resta 4. Estrai la radice, che dà 2 e sottrai questo dalla metà della radice, cioè da 5, resta 3. Questa ` la radice del quadrato che cerchi e il suo quadrato è 9. Se lo desideri, aggiungi quella alla metà della radice. Ottieni 7, che è la radice del quadrato che cerchi e il cui quadrato è 49." |
x2 + 21 = 10x 10 : 2 = 5 5 · 5 = 25 25 – 21 = 4
5 – 2 = 3 x = 3 x2 = 9 2 + 5 = 7 x = 7 x2 = 49
|
x2 + q = px p : 2
x = x = |
Sono così presentate le due soluzioni positive dell'equazione, seguite dal commento:
"Se tu affronti un problema che si riconduce a questo tipo di equazione, verifica l'esattezza della soluzione con l'addizione, come si è detto. Se non è possibile risolverlo con l'addizione, otterrai certamente il risultato con la sottrazione. Questo è il solo tipo in cui ci si serve dell'addizione e della sottrazione, cosa che non trovi nei tipi precedenti. Devi inoltre sapere che se in questo caso tu dividi a metà la radice e la moltiplichi per se stessa e il prodotto risulta minore del numero che è aggiunto al quadrato, allora il problema è impossibile. Se invece risulta uguale al numero, ne segue che la radice del quadrato sarà uguale alla metà delle radici che sono col quadrato, senza che si tolga o si aggiunga qualcosa."
Gli ultimi due casi corrispondono ad avere discriminante negativo (p/2)2 < q, dunque nessuna soluzione in campo reale, e discriminante nullo, vale a dire due soluzioni coincidenti (x=p/2).
La dimostrazione geometrica di al-Khwarizmi, distingue due possibilità, corrispondenti alle due soluzioni. Della prima è data una costruzione dettagliata, mentre per la seconda si hanno pochi cenni nel testo arabo e alcune figure nelle versioni latine.
Ecco come viene presentata la prima costruzione (fig. 3): il rettangolo GCDE, di lati GC= p e CD = x, è formato dal quadrato ABCD = x2 e dal rettangolo GBAE = (p-x)x = q. Se si pone x < p/2 cosa che al-Khwarizmi non dice esplicitamente, si può innalzare in F, punto medio di GC, la perpendicolare FH e GC e prolungare FH del segmento HK=AH=p/2- x. Si costruiscono quindi i quadrati GFKM= (p/2)2 e IHKL = (p/2- x)2. Dalla costruzione risulta che i rettangoli EILM e FBAH sono congruenti, per cui IHKL risulta essere la differenza fra GFYM e GBAE, cioè (p/2-x)2 = (p/2)2 - q. Dunque
IH = AH =
e AD = HD–AH = p/2 -
= x.
Per la seconda costruzione, al-Khwarizmi dice solo che si ottiene la maggiore delle radici aggiungendo DH a M. È tuttavia quasi certo che egli ne conoscesse la dimostrazione, dal momento che nelle versioni latine si trovano le figure relative.
Supponendo infatti (fig. 4) x > p/2, il punto F, medio di GC = p, cade all'interno di BC=x. Si prenda AB = BC. Il quadrato BFHI, avendo lato BF=x–p/2, è uguale alla differenza del quadrato GFKM = (p/2)2 e della somma delle aree GBLM+IHKL=GBAE=q. Così BF =
e x = CF + BF = p/2 +
.
Al-Khwarizmi presenta poi, come esempio di equazione del tipo 6,
3x + 4 = x2
di cui considera solo la soluzione positiva e non quella negativa. La regola, espressa in notazioni moderne, relativamente all'equazione px + q = x2, corrisponde alla soluzione
x =
+![]()
La dimostrazione geometrica consiste nella costruzione (fig. 5) del quadrato ABCD=x2, composto dai rettangoli ARHD = px e RBCH = x2 – px = q.
Sia G il punto medio di HD e si costruisca il quadrato TKHG = (p/2)2. Sul prolungamento di TG si prenda TL = CH = x – p. Si innalzi in L la perpendicolare a LG, che incontri BC in M e il prolungamento di KH in N. Ora GL risulta uguale a CM e uguale a CG poiché GL = GT + LT = GH + HC e TL = CH = MN, per cui LTKN = BMNR. Dunque MCHN + BMNR = BCHR = q = MCNH + LTKN. Inoltre
LMCG = TKHG + q = (p/2)2 + q e CG =
,
da cui CD = x = CG + GD =
+ p/2.
Dopo aver discusso tutti i tipi di equazioni di primo e secondo grado, al-Khwarizmi espone alcune regole fondamentali per operare sulle espressioni algebriche. Ad esempio sono illustrate la moltiplicazione di monomi e binomi, la riduzione dei termini simili in somme e differenze di monomi e le trasformazioni del tipo a
=
x o viceversa.
Trattando addizioni e sottrazioni di segmenti, al-Khwarizmi sottolinea l'esigenza di rispettare sempre l'omogeneità dimensionale, cioè il fatto che non si può operare su grandezze che non abbiano le stesse dimensioni. Inoltre egli utilizza pochissimo il numero irrazionale, che chiama gizr asamm = (radice sorda o cieca). Gherado da Cremona, nel XII sec., ha tradotto il termine asamm col latino surdus ed è per questo motivo che fino al sec. XVIII i numeri irrazionali sono stati chiamati numeri surdi.
La teoria algebrica elaborata da al-Khwarizmi viene completata ed ampliata dall'egiziano Abu-Kamil (850-930) nel suo Libro sull'al-jabr e l'almuqabala, scritto fra la fine del IX e l'inizio del X secolo. Questo trattato, che sostanzialmente contiene la teoria delle equazioni di primo e secondo grado, ebbe numerosi lettori e commentatori, fra i quali il pisano Leonardo Fibonacci, uno dei maggiori matematici del medioevo in Occidente,14 che nel Liber abaci (1202) riporta parte dei problemi qui affrontati. Fra le caratteristiche più salienti della trattazione di Abu Kamil si nota un elevato livello teorico e la tendenza all'aritmetizzazione. Abu Kamil considera ad esempio anche potenze dell'incognita x superiori a 2 e utilizza le locuzioni cubo per indicare x3, quadrato-quadrato per x4, quadrato-quadrato-cosa per x5 e così via.
Egli utilizza più ampiamente e con maggior sicurezza, rispetto ad al-Khwarizmi, sia operazioni di calcolo algebrico, che trasformazioni complicate sulle espressioni irrazionali, del tipo
.
Inoltre enuncia regole precise per la determinazione immediata di x2, sotto forma di radicali, per le equazioni di secondo grado dei tipi 4,5,6, già studiate da al-Khwarizmi. Precisamente egli fornisce le seguenti regole:



Ogni regola è dimostrata geometricamente, ma si prescinde dall'omogeneità dimensionale, per cui segmenti e superfici, possono indicare sia numeri, che incognite di primo o di secondo grado. All'occorrenza Abu Kamil fa uso di più incognite, che chiama con nomi diversi, e, per semplificare la risoluzione di un problema, sceglie talvolta una incognita ausiliaria. Ad esempio, nel problema: "Dividere 10 in due parti (x e 10 – x) di modo che
",
Abu Kamil trova dapprima
![]()
moltiplicata per
diventa
![]()
e infine
![]()
Non contento di questa espressione, Abu Kamil ne trova subito dopo una più semplice ponendo come incognita (10 – x)/x = y . Il problema si traduce quindi nell'equazione
,
la cui soluzione è
.
Partendo poi dall'equazione lineare
, (*)
Abu Kamil determina x, il cui denominatore è irrazionale:
.
Elevando al quadrato l'equazione (*), scritta nella forma
,
da cui
,
egli ottiene
![]()
![]()
.
Tra la fine del X e il XII sec. si assiste ad un notevole sviluppo dell'algebra islamica, che si articola in due correnti relativamente distinte:l'una di indirizzo aritmetico-algebrico, l'altra geometrico-algebrico. In esse si fa tesoro delle innovazioni di ciascuna di queste singole discipline a favore dell'altra e viceversa, in un rapporto dialettico molto fecondo.
L'indirizzo aritmetico-algebrico si avvale da un lato dei contributi e progressi degli aritmetici dei sec. IX-X, dall'altro della traduzione in arabo dell'opera di Diofanto nel X sec. Fra il 961 e il 976 Abul-Wafa scrive un Libro sull'aritmetica necessaria agli scribi e ai mercanti, in cui riassume e sviluppa le conoscenze dell'aritmetica araba e la teoria delle frazioni. Particolarmente potenziati sono in quest'epoca anche gli algoritmi per l'estrazione delle radici. Già al-Khwarizmi, nel suo trattato di aritmetica, aveva dato, come regola di approssimazione della radice quadrata del numero N = a2 + r,
.
Successivamente al-Uqlidisi (morto intorno al 952) fornisce l'approssimazione
![]()
e ancora
.
Ulteriori progressi si avranno nei secoli XI e XII.
Il primo e principale esponente dell'indirizzo aritmetico-algebrico è il persiano al-Karagi, vissuto tra la fine del X e l'inizio dell'XI secolo, che forma una vera e propria scuola. Egli viene anche chiamato al-hisabi, cioè maestro di aritmetica, per le sue eccezionali doti in quel campo. Scrive molte e importanti opere, di cui si ricordano in particolare il manuale sulla scienza dell'aritmetica e il vasto trattato di algebra intitolato Al-Fahri dal soprannome Fachr'al mulk, dato al vizir Abu Galeb, (gloria del regno), a cui lo scritto era dedicato.
Nella prefazione dell'Al-Fahri si trova fra l'altro definito per la prima volta esplicitamente lo scopo dell'algebra: la determinazione delle grandezze incognite mediante quelle note, utilizzando i metodi più efficaci.
Al-Karagi espone qui uno studio sulle potenze dell'incognita e, seguendo Diofanto, designa le potenze superiori come prodotti di potenze inferiori, per cui x5 = x2 x3 e chiamato quadrato-cubo x6 = x3 x3 cubo-cubo, e così via.
Egli sottolinea inoltre il legame che esiste fra le potenze successive dell'incognita, che si possono scrivere in proporzione:
1:x=x:x2=x2:x3=x3:x4=...,
come pure fra le potenze reciproche:
...
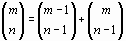
Al-Karagi riprende sostanzialmente lo scritto di Abu Kamil, che però integra sia nella parte teorica, che in quella dei problemi, sfruttando ampiamente l'eredità diofantea. In particolare egli applica le operazioni aritmetiche ai monomi e poi a quantità composte da monomi, cioè a polinomi. Fornisce inoltre le formule per il quadrato e per il cubo di un binomio, presentando cosi i primi elementi di quella che si chiama oggi l'algebra dei polinomi. Uno dei suoi successori, as-Samaw'al, gli attribuisce per di più la tabella dei coefficienti di (a + b)n fino a n = 12, dicendo che la si può prolungare all'infinito se si segue la legge, oggi nota come triangolo di Tartaglia o di Pascal, per cui
.
Relativamente alle teoria delle equazioni, oltre a quanto aveva già trattato Abu Kamil, vengono affrontate e risolte equazioni del tipo:
ax2n + bxn = c
ax2n + c = bxn
bxn + c = ax2n
ed anche del tipo
ax2m+n = bxn+m + cxn .
Inoltre al-Karagi espone le trasformazioni da effettuare per eliminare gli irrazionali quadratici, che compaiono al denominatore.
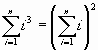
Nell'Al-Fahri si trovano anche proprietà di teoria dei numeri, ad esempio le formule per la somma dei primi n quadrati e cubi. Quest'ultima, che si può esprimere in notazioni moderne con
,
viene presentata da al-Karagi con una dimostrazione geometrica semplice ed elegante.
Sia 1+2+3+...+n il lato di un quadrato ABCD (Fig. 6) e si costruisca lo gnomone DCBB'C'D' con BB' = DD' = n. L'area di questo gnomone è 2n(1+2+...+n)–n2=n3, essendo 1+2+...+n=n(n+1)/2. Si costruisca poi lo gnomone D'C'B'B''C''D'' con B''B'=n–1, che ha area (n–1)3. Proseguendo in modo analogo, al-Karagi ottiene alla fine il quadrato di lato 1 e area l.
Il quadrato ABCD risulta quindi decomposto in aree di gnomoni successivi più il quadrato 1, per cui si può scrivere l'uguaglianza:
13+23+...+n3 = (1+2+...+n)2.
Il principale successore di al-Karagi è as-Samaw'al (XII sec.), figlio di un erudito ebreo, emigrato dal Marocco e stabilitosi a Bagdad, e di una letterata originaria dell'Iraq. Egli è filosofo, medico e matematico; profondo conoscitore sia delle opere greche che indiane. Scrive, all'età di soli 19 anni, il Libro luminoso sull'aritmetica. in cui sintetizza e raggruppa tutti i risultati ottenuti fino ad allora, in particolare quelli dovuti ad al-Karagi. è il primo ad esporre sistematicamente la regola dei segni, cioè le regole da usare con le quantità negative; per esempio: –(–ax2)= ax2 e –axn –bxn=– (a+b) xn.
Fornisce inoltre la definizione di potenza nulla xo=1 con x diverso da 0 e le operazioni aritmetiche sulle potenze: xm·xn = xm+n; xm:xn = xm-n e (xm)n = xmn. Per visualizzare queste proprietà, as-Samaw'al introduce una tabella del tipo seguente:
4 3 2 1 0 1 2 3 4 ...
_______________________________________________
... x4 x3 x2 x 1
...
e spiega che per esempio, per moltiplicare x2 per x3, è sufficiente spostarsi di 3 colonne verso sinistra, a partire da x2. Si trova così x5. Se invece si ha x2·x-1 ci si dovrà spostare a destra di 1 colonna, sempre a partire da x2, trovando così x.
Le tabelle sono da lui utilizzate anche per rappresentare un'espressione polinomiale, mediante la successione dei coefficienti. Tale rappresentazione è particolarmente utile nella divisione fra polinomi e costituisce un primo passo verso il simbolismo matematico. Visualizzazioni del tipo indicato sopra infatti si ritroveranno in M. Stifel, F. Viète e J. Wallis.
A proposito della divisione as-Samaw'al estende alle espressioni polinomiali l'algoritmo euclideo per la divisione dei numeri interi e continua l'operazione anche con potenze negative dell'incognita. Ottiene, ad esempio,
![]()
ed inoltre riconosce che, nel risultato, i coefficienti seguono una particolare legge di formazione (an-2=- 2an), ma non precisa che questo vale solo per x sufficientemente grande.
Nella sua opera, inoltre, è presentato un algoritmo per l'estrazione di radici quadrate di espressioni polinomiali e pare che si debba attribuire ad as-Samaw'al anche un metodo di approssimazione numerica di un'equazione del tipo xn - q = 0.
Molti dei risultati e dei procedimenti escogitati dai matematici della scuola di al-Karagi, fra la fine del sec. X, l'XI e il XII secolo, sono stati invece attribuiti ingiustamente al matematico di molto posteriore, al-Kashi (XV sec.), che li riprende nella sua opera principale, la Chiave dell'aritmetica.
La seconda corrente che contribuisce al rinnovamento dell'algebra islamica nei secoli X, XI e XII, è quella costituita da quei matematici che cercano di far progredire l'algebra mediante la geometria. Lo stimolo iniziale è fornito dai problemi geometrici classici o astronomici, che si traducono in equazioni di terzo grado. Si ricorda ad esempio il problema della duplicazione del cubo, ovvero l'inserzione di due medi proporzionali x e y fra i numeri a e b, per cui
a : x = x : y = y : b.
Questo si traduce nelle equazioni x2 = ay o y2 = bx e xy = ab, che conducono all'equazione x3 = a2b oppure y3 = ab2.
Menecmo (IV sec. a.C.) aveva trovato la soluzione di x3 = a2b come ascissa del punto di incontro della parabola x2 = ay e dell'iperbole xy = ab. Risolse con questo stratagemma anche il problema della duplicazione del cubo, in quanto questo si presentava come un caso particolare del precedente. Si trattava infatti di trovare lo spigolo di un cubo, il cui volume fosse il doppio del volume di un cubo dato, cioè di risolvere l'equazione x3=2a3, cosa che egli ottenne con l'intersezione della parabola x2=ay e dell'iperbole xy=2a2.
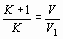
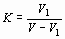
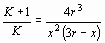
Ancora più interesse suscitava però, presso gli arabi, il problema posto da Archimede (287-212 a.C.) nell'opera Sulla sfera e sul cilindro (II, 4):
"Dividere una sfera data in modo tale che il rapporto fra i volumi dei segmenti ottenuti sia uguale ad un rapporto dato."
Se si indica con r il raggio della sfera e con x £ r l'altezza di uno dei segmenti sferici, l'altro segmento avrà altezza 2r- x³ r. Il volume V1 del segmento di altezza x e quello V2 dell'altro segmento dovranno dunque stare fra loro nel rapporto dato K, con K£ 1, cioè
V1:V2= K e se V indica il volume della sfera, si avrà:
,
da cui
e poiché
e
, si ha
,
da cui
.
Una soluzione del problema era già stata data da Eutocio (VI sec.), nel suo commento all'opera di Archimede, con l'intersezione di una parabola e di un'iperbole, ma questa soluzione non era conosciuta dagli arabi, che si accanirono nella ricerca. Il primo ad occuparsi del problema e a darvi una espressione algebrica è al-Mahani, che però non riesce a costruire la radice dell'equazione. Altri matematici islamici del x sec., ad esempio al-Khazin e ibn al-Haytham (965-1093), riprendono il problema, studiando altri problemi geometrici classici (quali quelli della duplicazione del cubo, trisezione dell'angolo, costruzione dei poligoni regolari di 7 e 9 lati inscritti nel cerchio) e lo risolvono mediante intersezione di coniche. Al-Biruni (973-1048) affronta invece il problema della trisezione dell'angolo e dell'inscrizione di un ennagono regolare nel cerchio. Egli ottiene per quest'ultimo l'equazione
x3 = 3x + 1,
in cui x rappresenta la corda di un arco uguale ai 2/9 della circonferenza. Da un lato il grande numero dei problemi che si riconducono ad equazioni di terzo grado, dall'altro l'incapacità di risolvere queste equazioni con una formula per radicali, portano all'esigenza di costruire una teoria sistematica e generale delle equazioni di terzo grado, analoga a quella per le equazioni di primo e secondo grado.15
Il creatore di questa teoria è Omar al-Khayyam (1048 Nishapur, nel Khorassan, 1131), noto universalmente come poeta per i suoi famosi Rubai'yat. Verso il 1074 egli scrive, a Samarcanda, il suo grande trattato Sulle dimostrazioni dei problemi di al-jabr e al-muqabala16, in cui definisce l'algebra come teoria delle equazioni, nettamente distinta dall'aritmetica. Le grandezze incognite possono essere numeri interi o grandezze geometriche (linee, superfici, volumi) e la risoluzione necessita sia di soluzioni numeriche, che di verifiche geometriche. Egli riconosce il suo fallimento nei confronti della soluzione per radicali delle equazioni cubiche, ma afferma "Forse uno di quelli che verranno dopo di noi riuscirà a trovarla."
Il suo trattato presenta una classificazione delle equazioni di secondo e di terzo grado. Queste ultime sono divise in tre specie: le binomie, le trinomie e le quadrinomie, per un totale di 14 tipi.
La prima specie con tiene semplicemente l'equazione binomia x3=a.
La seconda è formata dalle trinomie dei seguenti tipi:
x3+ bx = a
x3 + a = bx
bx + a = x3
x3+ cx2 = a
x3+ a = cx2
x3= a + cx2.
Infine la terza specie è costituita da
x3+ cx2+ a = bx
x3= a+ bx+ cx2
x3+ a+ bx = cx2
x3+ bx + cx2 = a
x3+ cx2 = bx+a
x3+ a = cx3+ bx
x3 +bx = cx2+a.
In tutte queste si devono intendere a, b, c costanti positive.
Le specie di ciascun tipo, che differiscono fra loro solo per i segni dei coefficienti, sono trattate separatamente e per ciascuno è spiegata la scelta delle coniche da usare. Il metodo è però uniforme, per cui è sufficiente indicare qui un unico esempio per ogni specie.
Omar al-Khayyam è attento a rispettare sempre l'omogeneità dimensionale, per cui nel trattare l'equazione del tipo 1),
x3+ bx = a,
dapprima la pone sotto la forma
x3 + p2x = p2q
e poi la risolve con l'intersezione (Fig. 7) del cerchio x2+ y2 = qx e della parabola a2= py.
L'ascissa x= AX del punto P di incontro delle due curve, e diverso dall'origine A delle coordinate, è la radice dell'equazione.
In modo analogo, per l'equazione del tipo 2),
x3+ cx2 = a,
si pone a= p3, per cui x2 (x + c) = p3 e le coniche scelte sono l'iperbole xy=p2 e la parabola y2= p(x + c).
L'equazione x3+cx2+bx = a è trasformata, ponendo b = p2 e a = p2s, in
x2 (x + c) = p2 (s - x)
ed è risolta con l'intersezione fra il cerchio y2 =(x +c)(s - x) e l'iperbole x(y+p) = ps.
Infine l'equazione
x3+ bx = cx2 + a,
avendo posto b = p2; a = p2s , diventa
x2(c- x) = p2(x- s),
che si può risolvere intersecando il cerchio y2 =(x-s)(c-x) con l'iperbole x (p-y) = ps.
Omar al-Khayyam considera, come i suoi predecessori, soltanto le soluzioni positive e quindi, trasferendo il discorso ad un sistema di assi cartesiani, soltanto le intersezioni delle curve nel primo quadrante. Inoltre fra le curve, privilegia i cerchi, le iperboli equilatere, per le quali asintoti ed assi di simmetria siano paralleli agli assi coordinati e le parabole, il cui asse di simmetria sia anche uno degli assi coordinati.
Vengono inoltre discusse le condizioni di esistenza delle radici positive e il numero di queste, ma nonostante l'analisi sia molto profonda, gli è sfuggito il caso di tre soluzioni positive per l'equazione
x3+ bx = cx2+ a.
Uno dei continuatori dell'opera di al-Khayyam è il persiano Sharaf Al-Din al-Tusi, che visse alla fine del XII sec. Egli riprende infatti il discorso sulle soluzioni geometriche delle equazioni cubiche e sviluppa notevolmente lo studio delle curve. Aggiunge a questa teoria, una discussione sistematica dell'esistenza delle radici positive, legata al ruolo del discriminante. Per esempio nell'equazione x3 +a = bx egli afferma che l'esistenza delle radici positive è legata al fatto che sia
.
Questo discriminante non appare però mai in una formula risolutiva del tipo di quella di Tartaglia e Cardano. Probabilmente fu proprio l'impossibilità di ottenere una soluzione algebrica diretta dell'equazione cubica a portare il matematico alla ricerca di soluzioni numeriche approssimate.
A queste al-Tusi giunse nella sua Teoria delle equazioni, grazie ai notevoli progressi compiuti precedentemente sia dagli aritmetici-algebristi, che dai geometri-algebristi. Particolare importanza avevano, in questo senso, gli algoritmi per l'estrazione delle radici quadrate, viste sopra in al-Khwarizmi e al-Uqlidisi, ulteriormente elaborati e migliorati da ibn-Labban (XI sec.) e dal suo allievo an-Nasawi, che li estendono anche alle radici cubiche.17 Si sa inoltre che al-Biruni aveva composto un'opera intitolata L'estrazione delle radici cubiche e di quelle di grado più elevato ed anche al-Khayyam aveva scritto su questo argomento, ma purtroppo queste opere sono andate perdute e non è perciò possibile stabilire quale influenza esercitarono su al-Tusi. Ecco in dettaglio il procedimento impiegato da questo matematico per la ricerca della soluzione numerica di un'equazione di secondo grado, del tipo x2+ px = N. L'equazione studiata da al-Tusi è
x2+ 31x = 112992
e il metodo consiste nel ritrovare ogni potenza di N a partire dal gruppo di termini che derivano dall'elevazione al quadrato dell'incognita, rappresentata, in simboli moderni da x = x1 + x2 + x3, dove x1 = a 102; x2= b 10; x3 = c con a, b, c cifre intere comprese fra 0 e 9. Il procedimento di al-Tusi18 consiste nello scrivere x2 e 31x in funzione di x1, x2, x3, ovvero di a, b, c e potenze di 10:
x2=(x1+x2+x3)2=x12+x22+x32+2x1x2+2x1x3+2x2x3=a2104+2ab 103+(2ac+b2) 102+2bc 10+c2
31x=31 x1+31x2+31x3=31a102+31b10+31c.
In un primo tempo si cerca a, cioè il più grande intero tale che a2<11. Si trova a = 3 e si sommano poi tutti i termini che si possono scrivere a partire da a, annotando ciò che resta:
N1= N - a2104- 31al02
N1 = 112 992 - 90 000 - 9300
N1 = 13 692.
Successivamente si cerca b, cioè il più grande intero tale che 2ab < 13, cioè 6b < 13. Si trova b = 2, per cui si prosegue calcolando
N2= N1- 2ab·103- b2· 102- 31 b·10
N2= 13692- 12000 - 400 - 620
N2 = 672.
infine si cerca c, tale che 2ac < 6. Si ha 6c = 6,da cui c = 1 e si può scrivere
N3 = N2 - 2ac·102 - 2bc· 10 – c2 - 31c
N3 = 672 - 600 - 40 - 1 - 31 = 0.
La soluzione è dunque
x = 3· 102+ 2· 10 + 1,
cioè
x = 321.
L'ultimo matematico arabo, degno di essere qui citato, è al-Kashi, che muore a Samarcanda nel 1429. Come si è già avuto occasione di dire, la sua opera più celebre è la Chiave dell'aritmetica, composta nel 1427, che rappresenta una vera enciclopedia delle conoscenze scientifiche dell'epoca. Essa avrà una grandissima diffusione sia nei paesi arabi che in occidente, essendo destinata non solo ai matematici, ma a tutti gli uomini di cultura, dai letterati ai mercanti. Nella Chiave dell'aritmetica si trovano condensate tutte le proprietà e i metodi dell'aritmetica e dell'algebra, elaborati precedentemente. Viene qui esposta sia l'aritmetica col sistema sessagesimale, che con quello decimale, allo scopo di mostrare che le operazioni si possono effettuare indifferentemente nell'uno e nell'altro sistema. Viene inoltre ripreso il metodo di estrazione delle radici quadrate e viene fornito un valore per p con sedici decimali esatti.
A partire dal IX secolo, con la nascita dell'algebra presso gli arabi, si formano, come si è visto, nuovi rapporti fra algebra e aritmetica e fra algebra e geometria. L'algebra entra così a poco a poco nei più disparati settori della matematica e permette importanti sviluppi, di cui qui se ne ricordano solo alcuni.
Dalla tradizione della scrittura polinomiale, con l'uso di tabelle, nasce la teoria delle frazioni decimali, da farsi risalire, al più tardi, al sec. XII. Anche la teoria dei numeri riceve nuovi impulsi sia nel campo dell'analisi diofantea, con la risoluzione in numeri razionali di equazioni e sistemi di equazioni, sia nella ricerca di terne pitagoriche, di numeri primi, di numeri congrui, di numeri amici, di resti quadratici e nell'ideazione dei quadrati magici. Inoltre, con al-Khayyam, si ha la prima teoria delle frazioni continue.19 Anche l'ambito dei numeri impiegati si amplia: ad esempio gli irrazionali positivi, a partire da Abu Kamil in poi, entrano a far parte dell'algebra e dell'aritmetica, proprio come i razionali.
Nella geometria, nella trigonometria, nel calcolo di aree e volumi e nell'astronomia, il calcolo algebrico porta a metodi più semplici e spediti.
La fusione fra la cultura indiana e quella greca, che si verifica nel mondo arabo nei sec. IX e X, favorì la realizzazione di risultati originali e importanti da parte dei matematici islamici (in particolare nell'algebra), che portano a rivedere le posizioni storiche finora assunte nei confronti di questa civiltà e dell'influenza che questa ebbe sulla matematica successiva.
Come giustamente afferma R. Rashed:
"Le résultat final qui se dégage de tout cela, c'est que, de même qu'il est impossible de comprendre ces mathématiques arabes sans les mathématiques hellénistiques, il est également impossible de comprendre les mathématiques des XVIe et XVIIe siècles sans les mathématiques arabes."20
In effetti l'influenza della cultura scientifica araba in Occidente è ancora in gran parte da scoprire. Si sa che ci furono notevoli contatti in Spagna, soprattutto con i traduttori, in Italia attraverso Leonardo Fibonacci Pisano ed i suoi viaggi in Oriente, e in Sicilia con il circolo di Federico II di Svevia, amico personale del sultano al-Kamil. Inoltre, da quando nel 1258 Bagdad venne conquistata dai mongoli, ci fu un certo esodo di studiosi islamici verso l'occidente e con ciò una maggiore penetrazione in Europa della cultura scientifica araba. Non si può dunque prescindere dalla conoscenza dell'eredità araba, soprattutto per quanto concerne l'algebra: una disciplina che sarà destinata ad assumere una posizione centrale nella matematica italiana del sec. XVI.
BIBLIOGRAFIA
Abdeljaouad M. 1981, Vers une épistémologie des décimaux, Brochure A.P.M.E.P. n. 41, pp. 69-97.
Boyer C. B. 1980, Storia della matematica, Isedi 1976, Oscar Mondadori, Milano.
Cassina U. 1941, Sulle equazioni cubiche di Al-Biruni, Periodo di Matematiche, 4 21, pp. 3-20.
Cassinet J. 1979, Equations du second degré, IREM Histoire des mathematiques, Toulouse.
Cassinet J. 1980, Equations du troisième degré, IREM Histoire des mathematiques, Toulouse.
Dahan-Dalmedico A., J. Peiffer 1982, Routes et dédales, Sciences études vivantes, Paris Montreal 1982.
Franci R., Toti Rigatelli L. 1979, Storia della teoria delle equazioni algebriche, Mursia, Milano.
Guillemot M., Plane H. 1984, L'algèbre au fil des ages, IREM Histoire des mathematiques, Toulouse.
Hankel E. 1872, Storia delle matematiche presso gli arabi, Bullettino di bibliografia e di storia delle Scienze matematiche e Fisiche (Boncompagni), 5, 1872, pp. 343-401.
Karpinski L.C. 1915, Robert of Chester's Latin translation of the Algebra of Al-Khowarizmi..., The Macmillan Company, New York.
Picutti E. 1984, Uomini e numeri, Le Scienze quaderni n. 18.
Rashed R. 1972, Résolution des équations numeriques et l'algèbre, Sharaf-Al-din al-Tusi, Viète, Archive for history of exact Sciences 12, pp. 244-290.
Rashed R. 1985, D'Alexandrie a Bagdad, in Le matin des mathématiciens... par E. Nöel, Belin Paris, pp. 135-144.
Rashed R. 1985, La naissance de l'algèbre, in Le matin des mathématiciens... par E. Nöel, Belin Paris 1985 pp. 145-154.
Rashed R. 1985, Entre l'algèbre et l'arithmétique, in Le matin des mathématiciens... par E. Nöel, Belin Paris 1985 pp. 155-161.
Van der Waerden B. L. 1985, A History of Algebra. From al-Khwarizmi to Emmy Noether, Springer, Berlin.
Youschkevitch A. P. 1976, Les mathématiques arabes, Vrin, Paris.
Zemanek H. 1981, Al-Khorezmi. His Background, His Personality, His Work and his Influence, in Ershov A.P., Knuth D.E. Algorithms in modern Mathematics and Computer Science, Lecture Notes in Computer Science 122, Springer, New York, pp. 1-81.
Il Giardino di Archimede per la Storia della matematica a scuola |